2025MBA報考測評申請中......

說明:您只需填寫姓名和電話即可免費預約!也可以通過撥打熱線免費預約
我們的工作人員會在最短時間內給予您活動安排回復。

導讀:南開大學2017工程管理碩士招生人數及復試名單:

一、南開大學商學院2017年非全日制碩士研究生招生各專業招生人數公示(工程管理,圖書情報)

人數公示.png
說明:

1、以上招生人數為計劃招生人數,后期可能會根據各專業復試情況以及學校總體招生情況進行調整。

2、退役大學生士兵計劃類型招生人數標注在備注中。

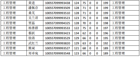
二、南開大學商學院參加2017年非全日制工程管理碩士研究生入學考試復試名單

南開EME.png
南開2.png
南開3.png