2025MBA報考測評申請中......
說明:您只需填寫姓名和電話即可免費預約!也可以通過撥打熱線免費預約
我們的工作人員會在最短時間內給予您活動安排回復。
導讀:社會不斷發展,科技日新月異,我們在享受各種進步帶來的好處同時,卻經常“選擇性失憶”的忘了這些便捷背后的默默耕耘的數學知識支撐。
如炎熱夏天,大家最需要的就是空調,很多網友調侃我的命是空調給的。空調最厲害的地方就是能調節溫度,而這個溫度控制系統需要建立一個數學模型。
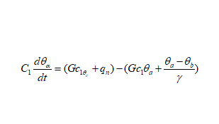
根據能量守恒定律,單位時間內進入恒溫室的能量減去單位時間內由恒溫室流出的能量等于恒溫室中能量蓄存的變化率。即:
恒溫室內蓄熱量的變化率=(每小時進入室內的空氣的熱量+每小時室內設備、照明和人體的散熱量)-(每小時從室內排出的空氣的熱量+每小時室內向室外的傳熱量)
如果我們把這個等式轉化成數學表達式,就是一個微分方程,如下:

從小學到初中、高中,數學是必學科目,甚至在大學里很多專業都要求必須學好數學。為了學好數學,我們很多人不斷刷題做題,為的只不過是一個“好看”分數,以便幫助我們考上一個理想的學校,找到理想的工作等等。
因此,當我們很多人畢業離開學校,走出校園,走上社會,參加工作,可以說是徹底跟數學說拜拜。特別是走上社會,一個人若從事的工作跟數學聯系不大,那么隨著時間慢慢推移,他/她所學的數學知識、公式、定理等等,都會逐漸淡忘,加上我們大部分人在工作和實際生活中用不到太高深的數學知識,有些人就會經常反問:學數學到底有什么用?既然現在用不到,當初為什么還要學?
有這樣的疑問算正常,也算不正常。正常是因為很多人只會看到對自身有作用的既得利益,不會去真正看到事件本身背后的意義。如一開始空調的例子,我們享受著空調帶來的好處,確實忽視數學知識在其中起到關鍵性作用。同時,有這樣的疑問也算不正常,那是因為你受過九年義務制教育,高中、大學學習等等,卻去懷疑數學這樣一門重要學科有沒有用?這就像建造航空母艦,看似對一個普通人“毫無用處”,但那是保家衛國的利器。數學也是同樣一個道理,看似對很多人“無用”,但它卻實實在在影響我們的生活,它的思想與內涵影響著我們的行為。
如果你對第二次世界大戰中有足夠了解的話,那么你會對數學家作出的貢獻更加肅然起敬。
二戰時期,為了打贏納粹德國,迫使美國等許多國家將數學與科學技術、軍事目標空前緊密地結合起來,開辟了數學發展的新時代。如在1942年,美國政府成立了應用數學組(AMP),它的任務就是幫助解決戰爭中日益增多的數學問題。應用數學組的成立,可以說為二戰的勝利提供巨大的幫助,特別是空戰方面的成果,到戰爭結束時共完成了200項重大研究。
應用數學組為二戰做出貢獻,最出名還有以下幾個方面的研究:
二戰時期德軍用了特殊的通訊手段,電報機稱之為“Enigma”(謎),但盟軍總是無法截獲或破譯,戰爭一度處于被動。數學家圖靈把拍電報的過程看成在一張紙帶上的穿孔,運用可計算理論,設計了一架破譯機“Ultra”(超越)專門對付“Enigma”(謎),破譯了大批德軍密碼,為二戰勝利作出重要的貢獻。
哥倫比亞大學重點研究空對空射擊學。如,空中發射炮彈彈道學;偏射理論;追蹤曲線理論;追蹤過程中自己速度的觀測和刻劃;中心火力系統的基本理論;空中發射裝備測試程序的分析;雷達。
在紐約州立大學,柯朗和弗里德里希領導的小組研究空氣動力學、水下爆破和噴氣火箭理論。超音速飛機帶來的激波和聲爆問題,利用“柯朗——弗里德里希——勒維的有限差分發”求出了這些課題的雙曲型偏微分方程的解。
普林斯頓大學和新墨西哥大學為空軍確定“應用B——29飛機的最佳戰術”。
布朗大學以普拉格為首的應用數學小組集中研究經典動力學和畸變介質力學,以提高軍備的使用壽命。
馮·諾伊曼和烏拉姆研究原子彈和計算機。
維納和柯爾莫戈洛夫研究火炮自動瞄準儀。
哈佛大學的G·伯克霍夫為海軍研究水下彈道問題。
以丹澤西為首的運籌學家發明了解線性規劃的單純形算法,使美軍在戰略部署中直接受益。
像這些經典例子非常多,我們在這里就不再展開。
因此,二戰結束后,美國等許多國家政府認為“一個一流數學家勝過10個師”。
數學是什么?
數學是研究數量、結構、變化以及空間模型等概念的一門學科。透過抽象化和邏輯推理的使用,由計數、計算、量度和對物體形狀及運動的觀察中產生。
盡管我們從小學到高中、大學進行長時間的數學學習,但由于數學本身特點,我們要掌握好數學知識,就需要進行大量解題訓練。加上教育本身的局限性,課堂上對數學知識不能拓展太多,造成很多人誤以為學數學就是為了做題、考試,忽視數學本身的意義,如沒有充分了解到數學在實際生產生活中的作用。
數學的核心是理性精神,數學的精髓是數學思想。我們看似在學習數學知識,看似在做題,實則通過知識學習,扎入數學的海洋,訓練你的邏輯思維,受數學思想所熏陶,感受數學的偉大。
數學思想、數學方法和數學教育思想等等,這些結合數學特有的思維、語言特點等形成數學特有的氣質。
我們舉一個例子,
很多人在工作中,經常會碰到保險或銀行工作人員向你推薦理財產品,很多時候這些工作人總會跟你說利率、復利等等這些專業名詞,如復利+時間=提款機。這句話看上去非常吸引人,天上掉餡餅,如果對數字不敏感的人,很可能就掉入“圈套”,去購買相關產品。如果你想弄清楚什么是復利?只要多學習微積分相關知識就能找到答案。
每個人工作性質可能都不一樣,所處的工作崗位也不盡相同,所面對的人和事也都會有區別。因此,每個人面對自己工作與生活,所用到的知識自然就不大一樣,我們不能因為工作性質的原因,去否決一門偉大的學科,即“用不到≠無用”。
其實數學我們無時無刻都在用到,只是沒有去認真感受而已。
或許,有一天,當我們放下書本,走出校園,走上工作,那些年學過的數學知識、公式定理、解題方法等等慢慢會淡忘,但在數學學習過程中,深深銘刻在你頭腦中的思想方法、理性精神、思維方式、看問題的眼光等等,卻無時無刻的影響著你的工作與生活。
數學不僅是一種工具,也是一種思維模式,即“數學方式的理性思維”;
數學不僅是一門科學,也是一種文化,即“數學文化”;
數學不僅是一些知識,也是一種素養,即“數學素養”

