2025MBA報考測評申請中......
說明:您只需填寫姓名和電話即可免費預約!也可以通過撥打熱線免費預約
我們的工作人員會在最短時間內給予您活動安排回復。
導讀:MBA聯考中,數學是讓人頭疼的一門學科,一步錯了全盤皆輸。想要拿分就得清楚題中涉及的各種公式,今天小編將聯考數學中最常見的必考公式為你匯總,趕緊收好。
MBA聯考中,數學是讓人頭疼的一門學科,一步錯了全盤皆輸。想要拿分就得清楚題中涉及的各種公式,今天小編將聯考數學中最常見的必考公式為你匯總,趕緊收好。

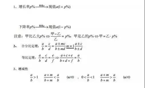
比和比例

平均值

方程

不等式

數列


